Gold zu teuer? Wurde auch vor einem Jahr gesagt...
Februar 2026 / Das Problem ist: Wir warten immer auf den perfekten Zeitpunkt, verpassen ihn dann aber oder die Preise steigen doch weiter.
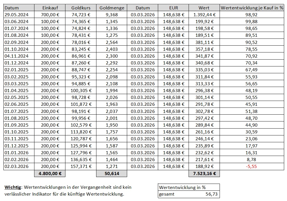
Lösung: Monatlich sparen mit kostenfreier Lieferung zu Ihnen nach Hause, wenn 10g angespart sind. Wie das geht? Zeige ich Ihnen gerne und zwar in Zahlen in der Tabelle, die einem konkreten Kundenvertrag entnommen sind, der Ende Mai 2024 mit dem Sparplan begonnen hat.
Warum Gold? Gib es ein anderes Wertpapier, welches bereits ähnlich lange handelbar ist wie physisches Gold? Nein. Über die Zeit schwankte der Goldpreis zweitweise zwar ziemlich stark, einen Totalverlust musste man aber noch nie hinnehmen. Deshalb genießt es in der Gunst der Anleger auch heute noch einen hohen Stellenwert und wird meist in seiner Kernfunktion, dem Werterhalt, als Krisenschutz, Inflationsschutz und Vermögensschutz gesehen.
Allein auf Gold zu sezten, ist aber natürlich auch nicht richtig. Zu einem vernünftigen Vermögensaufbau gehören verschiedene Anlageklassen, dazu gehören Fonds, Immobilien, Beteiligungen und anderes. Wenn Sie eine Beratung hierzu wünschen und Ihre Vermögensanlagen auf ein Mehrspeichenrad stellen möchten, melden Sie sich unter 089 / 780 686 50 oder suchen Sie sich einen Termin aus auf meinem Onlinekalender unter www.meinolframsel.de/terminkalender.
Aktuell bewegt er sich der Goldpreis weiter auf hohem Niveau, zwischenzeitlich ging es vom Höchststand kurzfristig deutlicher runter als vorher schon einmal, bis Ende Februar wurde dieser Höchststand aber wieder erreicht, bis es aktuell (Anfang März 26) zu einem erneuten noch relativ leichten Kursverlust durch die Angriffe auf den Iran kam.
Wie es weitergeht? Niemand kann es sagen. Daher ist ein Goldsparplan eine sinnvolle Vermögensanlage, da Sie damit die Vorteile des Cost-Average-Effekts nutzen. Wenn Sie aber doch auf einmal kaufen möchten? Dann habe ich dafür eine Lösung.
Was bedeutet der Cost-Average-Effekt: Sie kaufen regelmäßig Gold, unabhängig vom aktuellen Preis. So profitieren Sie langfristig von Marktunterschieden und minimieren das Risiko, zur falschen Zeit einzusteigen. Dabei wird Ihnen von meinem Anbieter das Gold regelmäßig direkt nach Hause geliefert, wenn mindestens 10g angespart wurden.
Ein weiterer Vorteil: Gold ist weltweit anerkannt und kann leicht in Bargeld umgewandelt werden. Das gibt Ihnen finanzielle Flexibilität, egal was passiert.
Starten Sie jetzt Ihren Goldsparplan und bauen Sie ein starkes Fundament für Ihre finanzielle Zukunft!
Übrigens ist auch ein klassischer Goldkauf möglich bei meinem Anbieter mit verschiedenen Vorteilen im Vergleich zu anderen Anbeitern, die ich Ihnen gerne bei einem Gespräch erläutere. Auch Goldsparpläne für Kinder und Jugendliche sind sehr sinnvoll und schon ab 25€/Monat möglich!
